Background

Vaccine hesitancy, defined as the delay in acceptance or refusal of safe vaccines, remains a challenge in the general population. Given that patients with hematologic malignancies frequently encounter healthcare professionals and are at high risk of severe COVID-19 infection, their attitudes towards vaccines may differ from other patient groups. We therefore performed a survey-based study to investigate vaccine hesitancy within an ethnically diverse group of patients diagnosed with hematologic malignancies.

Methods

We administered a 122-item questionnaire from December 2020 to January 2021 (prior to commercial availability of the COVID-19 vaccines) to 60 patients with hematologic malignancies. Questions were separated into the following categories: demographic and socioeconomic data; personal impact of COVID-19 infection; COVID-19 pandemic experience; COVID-19 infection perceptions; COVID-19 vaccine perceptions; and baseline COVID-19 vaccine knowledge.

Results

The majority of patients were Black (n=33, 55%) or Hispanic (n=11, 18.3%) and were undergoing active treatment (n=43, 71.7%) or had received prior hematopoietic stem cell transplantation (n=9, 15%). Eight (13.3%) patients had prior COVID-19 infection. Sixteen (26.7%) patients reported infection in an immediate family member while 15 (25%) reported infection in a friend. 20 of these cases were moderate in severity requiring healthcare interaction, and 17 of these cases were reported to result in severe infection (n=7, 9.6%) or death (n=10, 13.7%). Only 16 (29.6%) patients perceived themselves to be at high or very high risk of COVID-19 infection. The COVID-19 pandemic was reported to moderately or severely affect employment/income in 10 (22.8%) patients and led to worse mental health in 10 (22.3%) patients. However, the majority of patients reported no negative impact on their cancer treatment (n=37, 88.1%) or prognosis (n=45, 93.8%).

Of the 60 patients, 22 (40.7%) reported that if a COVID-19 vaccine was made publicly available in the next 30 days, they would not vaccinate themselves, either due to safety concerns (n=4, 20%) or indifference (n=6, 30%). Despite this, 43 (78.2%) patients stated that vaccination was an important tool in ending the pandemic. More patients agreed to accept the vaccine if it was made available in 6 months from the time of survey (n=40, 76.9%). Only 32 (59.3%) patients were extremely or very likely to accept a yearly vaccine. In terms of perception on cancer outcomes, 31 (62%) patients were uncertain if the vaccine would interact negatively with their current chemotherapy treatment, while 27 (52.9%) believed the vaccine would make their cancer worse. The biggest fear patients had about COVID-19 vaccines were side effects or death (n=15, 38.5%) and complications to cancer/cancer therapy (n=5, 12.8%). Only 6 (15.4%) patients stated they had no fears related to COVID-19 vaccination. In fact, only 21 (39.6%) patients agreed or strongly agreed that the side effects of most vaccines outweigh the benefits.

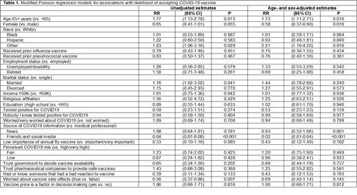
In a modified (age- and sex-adjusted) Poisson regression model (Table 1) that included baseline demographics and answers to select survey questions, older age was associated with a stronger likelihood of vaccine acceptance (RR 1.73, 95% CI 1.11-2.71; p=0.016), while female gender was associated with less likelihood to accept the vaccine (RR 0.58, 95% CI 0.37-0.90; p=0.016). Patients reported as "other" race (e.g., Asian) were more inclined to accept the vaccine (RR. 2.21, 95% CI 1.16-4.20; p=0.016) compared to White patients. Finally, when compared to patients who receive information primarily from medical professionals, those patients who received their information from social media or friends were far less likely to accept the vaccine (RR 0.02, 95% CI 0.01-0.04; p<0.001).

Conclusion

This is the first study to report that although patients with hematologic malignancies experienced significant medical and social burdens from the COVID-19 pandemic and have frequent interaction with healthcare professionals, a high rate of COVID-19 vaccine hesitancy still exists. We provide in depth information on the potential reasons for vaccine refusal in a diverse patient population and highlight potential areas for improvement in patient education. In particular, we show that vaccine disinformation received from friends and social media is a significant reason for vaccine refusal.

Disclosures

Calip:Pfizer: Research Funding; Roche: Current equity holder in publicly-traded company; Flatiron Health: Current Employment. Rondelli:Vertex: Membership on an entity's Board of Directors or advisory committees. Patel:Celgene: Consultancy.

Sign in via your Institution